H / m

40

30

20

10

0

P2 /kW

4

0

η/%

40

20

0

0

10

20

30

40

50

60

70

80

Q/m3/h

H / m

70

60

50

40

30

20

10

0

P2 /kW

4

0

η/%

40

20

SiBoost Smart FC 3 Helix V 1606

2900 1/min

50 Hz

1

2

3

H/m

80

70

60

50

40

30

20

10

0

P2 /kW

10

5

0

η/%

40

20

SiBoost Smart FC 3 Helix V 1607

2900 1/min

50 Hz

8

48 Wilo-Sistemi di pressurizzazione idrica Premium

Wilo-SiBoost Smart (FC) Helix V

Curve tabellari

H/m

SiBoost Smart FC 3 Helix V 1015

2900 1/min

140

50 Hz

120

100

80

1

2

3

60

40

20

0

P2 /kW

10

5

0

η/%

40

20

0

0

4

8

12

16

20

24

28

32

36

40

44

48

52Q/m3/h

SiBoost Smart FC 3 Helix V 1604

2900 1/min

50 Hz

H/m

60

50

40

SiBoost Smart FC 3 Helix V 1605

2900 1/min

50 Hz

1

2

3

1

2

3

30

0

0

10

20

30

40

50

60

70

80

Q/m3/h

0

0

10

20

30

40

50

60

70

80

Q/m3/h

1

2

3

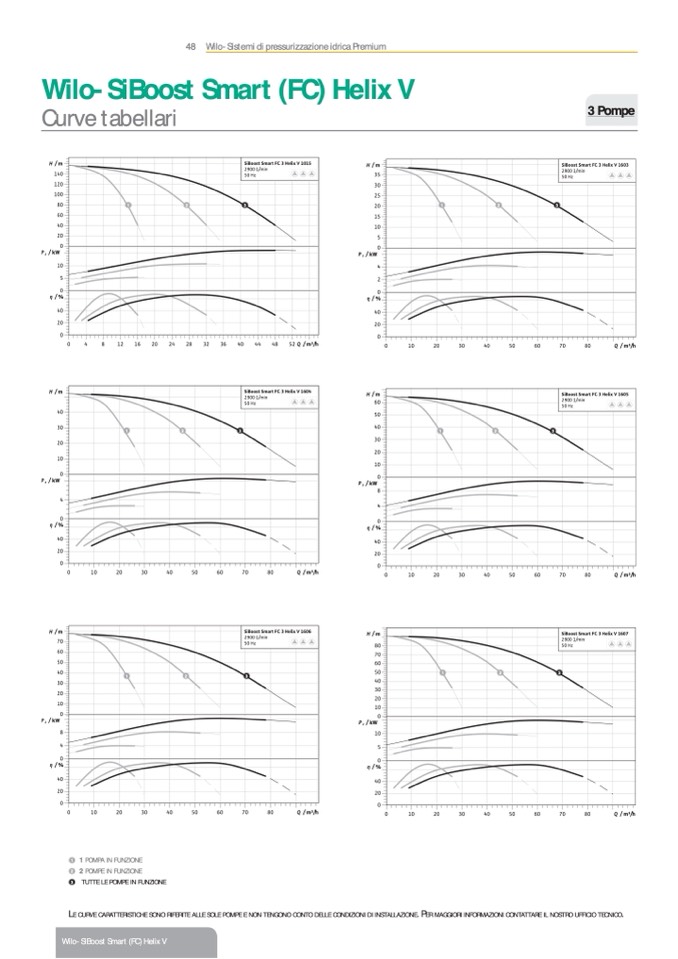
1 POMPA IN FUNZIONE

2 POMPE IN FUNZIONE

TUTTE LE POMPE IN FUNZIONE

L

E CURVE CARATTERISTICHE SONO RIFERITE ALLE SOLE POMPE E NON TENGONO CONTO DELLE CONDIZIONI DI INSTALLAZIONE

. P

ER MAGGIORI INFORMAZIONI CONTATTARE IL NOSTRO UFFICIO TECNICO

.

Wilo-SiBoost Smart (FC) Helix V

3 Pompe

H / m

SiBoost Smart FC 3 Helix V 1603

35

30

25

20

1

2

3

15

10

5

0

P2 /kW

2

0

η/%

40

20

2900 1/min

50 Hz

20

10

0

P2 /kW

8

4

0

η/%

40

20

4

0

0

10

20

30

40

50

60

70

80

Q/m3/h

0

0

10

20

30

40

50

60

70

80

Q/m3/h

1

2

3