10

Pompe in-line a motore ventilato elettroniche

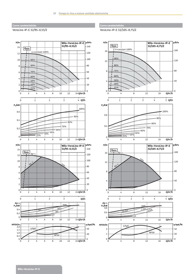
Curve caratteristiche

VeroLine-IP-E 32/95-0,55/2

H/m

14

12

10

8

6

4

2

Curve caratteristiche

VeroLine-IP-E 32/105-0,75/2

p/kPa

H/m

140

p/kPa

160

120

Qmin

90%

80%

Wilo-VeroLine-IP-E

32/95-0,55/2

n=constant 100%

70%

60%

50%

40%

25%

Qmin

n=constant 100%

Wilo-VeroLine-IP-E

32/105-0,75/2

90%

80%

70%

60%

50%

40%

25%

120

100

80

60

40

20

16

12

8

80

4

40

0

0

0

0

0

2

4

6

8

10

12

14Q/m3/h

0

4

8

12

16

Q/m3/h

0

1

2

3

4

5Q/l/s

0

1

2

3

4Q/l/s

60%

50%

40%

8

70%

0%

90%

100%

2 5%

100%

90%

80%

25%

40%

70%

60%

50%

P

1

/kW

0,6

0,4

0,2

P

1

/kW

0,8

0,4

0

0

0

2

4

6

8

10

12

14Q/m3/h

0

4

8

12

16

Q/m3/h

Qmin

Δp- c

Wilo-VeroLine-IP-E

32/105-0,75/2

Wilo-VeroLine-IP-E

32/95-0,55/2

Qmin

Δp-c

H/m

14

12

10

8

6

4

2

p/kPa

140

120

100

80

60

40

20

H/m

16

12

8

4

p/kPa

160

120

80

40

Δp-c

P

1

/kW

0,4

0,2

NPSH/m

2,0

1,5

1,0

0,5

Δp-c

P

1

/kW

0,8

0

0

0

0

0

2

4

6

8

10

12

14Q/m3/h

0

4

8

12

16

Q/m3/h

0

1

2

3

4

5Q/l/s

0

1

2

3

Q/l/s

0,4

0

0

16

Q/m3/h

0

2

4

6

8

10

12

14Q/m3/h

0

4

8

12

η hyd./%

NPSH/m

4

0

2

η hyd./%

40

20

η hyd.

NPSH

η hyd.

NPSH

2

0

1

0

0

0

0

0

2

4

6

8

10

12

14Q/m3/h

0

4

8

12

16

Q/m3/h

Wilo-VeroLine-IP-E

max.

Δp-v

m

a

x

.

Δp-v

max.

max.

6m

7,5m

9m

3,5m

11,5m

3m

1m

1m