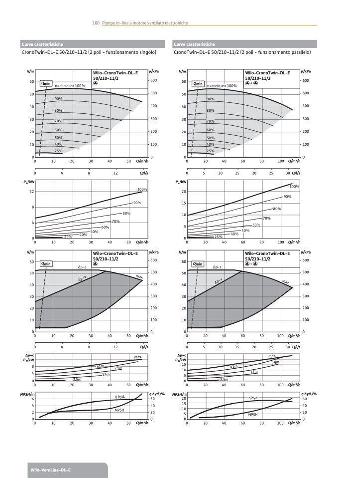
Curve caratteristiche

CronoTwin-DL-E 50/210-11/2 (2 poli - funzionamento singolo)

Curve caratteristiche

CronoTwin-DL-E 50/210-11/2 (2 poli - funzionamento parallelo)

p/kPa

60

600

100 Pompe in-line a motore ventilato elettroniche

Qmin

90%

80%

Wilo-CronoTwin-DL-E

50/210-11/2

Y

n=constant 100%

70%

60%

50%

40%

25%

Qmin

90%

80%

Wilo-CronoTwin-DL-E

50/210-11/2

X

n=constant 100%

70%

60%

50%

40%

25%

H/m

p/kPa

H/m

60

600

50

500

40

400

30

300

20

200

10

100

50

500

40

400

30

300

20

200

10

100

0

0

0

0

0

0

P

1

/kW

12

8

4

10

20

30

8

40

50

Q/m3/h

Q/l/s

0

20

40

60

80

100 Q/m3/h

0

5

10

15

20

25

30Q/l/s

P

1

/kW

4

12

100%

90%

80%

60%

70%

25%

50%

40%

100%

90%

80%

70%

25%

60%

50%

40%

20

15

10

5

0

0

0

10

H/m

60

20

30

40

50

Q/m3/h

0

20

p/kPa

H/m

600

60

40

60

80

100 Q/m3/h

Wilo-CronoTwin-DL-E

50/210-11/2

Y

Qmin

Δp-c

Wilo-CronoTwin-DL-E

50/210-11/2

X

Qmin

Δp-c

p/kPa

600

500

400

300

200

100

80

100 Q/m3/h

η hyd./%

60

40

20

500

50

400

40

300

30

200

20

100

10

0

0

0

0

50

40

30

20

10

0

0

10

20

30

8

40

50

Q/m3/h

Q/l/s

0

20

40

60

80

100 Q/m3/h

0

5

10

15

20

25

30Q/l/s

Δp-c

P

1

/kW

8

4

0

NPSH/m

6

10

20

30

40

50

Q/m3/h

0

20

40

60

η hyd./%

NPSH/m

60

20

4

12

Δp-c

P

1

/kW

15

10

5

0

0

3,5 m

3,5m

η hyd.

NPSH

η hyd.

NPSH

40

15

10

2

2

0

5

4

0

0

0

0

0

10

20

30

40

50

Q/m3/h

0

20

40

60

80

100 Q/m3/h

Wilo-VeroLine-DL-E

max.

Δp-v

Δp-v

max.

max.

max.

29m

41m

41m

29m

17m

17m