102 Pompe in-line a motore ventilato elettroniche

Curve caratteristiche

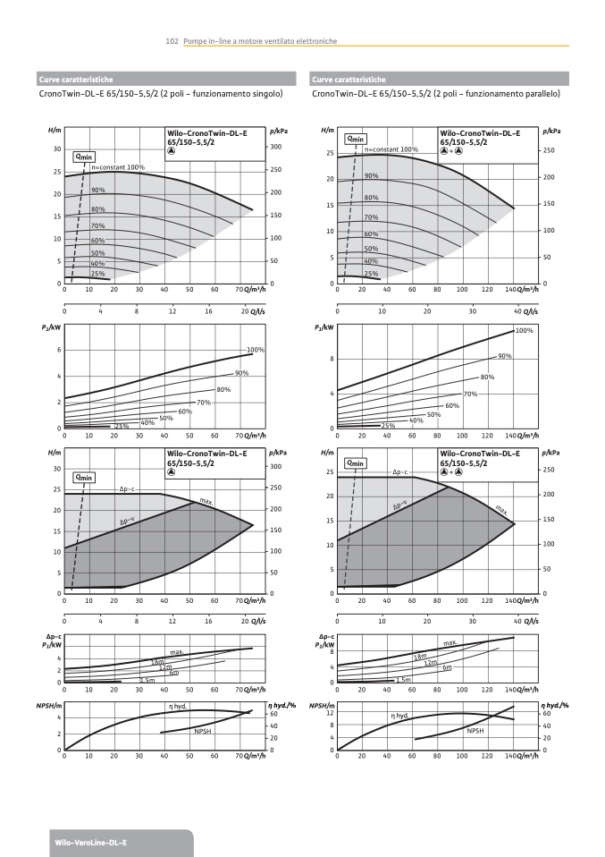
Curve caratteristiche

CronoTwin-DL-E 65/150-5,5/2 (2 poli - funzionamento singolo)

CronoTwin-DL-E 65/150-5,5/2 (2 poli - funzionamento parallelo)

H/m

p/kPa

H/m

p/kPa

250

200

150

5

50

0

0

0

0

90%

80%

70%

Wilo-CronoTwin-DL-E

65/150-5,5/2

X

Qmin

n=constant 100%

60%

50%

40%

25%

Qmin

n=constant 100%

90%

80%

70%

Wilo-CronoTwin-DL-E

65/150-5,5/2

Y

60%

50%

40%

25%

30

25

20

15

10

100

25

20

15

10

100

300

250

200

150

5

50

0

10

20

30

40

50

60

70Q/m3/h

0

4

8

12

16

20Q/l/s

0

20

40

60

80

100

120

140Q/m3/h

0

10

20

30

40Q/l/s

70%

60%

40%

50%

100%

90%

80%

25%

90%

100%

80

70%

%

25

4

%

60%

50%

0%

P

1

/kW

6

4

2

P

1

/kW

8

4

0

0

0

10

20

30

40

50

60

70Q/m3/h

H/m

30

300

0

20

40

60

80

100

120

140Q/m3/h

Wilo-CronoTwin-DL-E

65/150-5,5/2

X

Qmin

Δp-c

Qmin

Δp-c

Wilo-CronoTwin-DL-E

65/150-5,5/2

Y

p/kPa

H/m

25

p/kPa

250

200

150

100

50

25

20

15

150

10

100

20

15

10

250

200

5

0

0

0

0

5

50

0

10

20

30

40

50

60

70Q/m3/h

0

4

8

12

16

20Q/l/s

0

20

40

60

80

100

120

140Q/m3/h

0

10

20

30

40Q/l/s

Δp-c

P

1

/kW

4

2

Δp-c

P

1

/kW

8

4

0

0

140Q/m3/h

0

10

20

30

40

50

60

70Q/m3/h

0

20

40

60

80

100

120

η hyd.

NPSH

η hyd.

NPSH

NPSH/m

4

η hyd./%

NPSH/m

60

12

4

0

8

η hyd./%

60

40

2

0

0

0

0

2

0

4

0

10

20

30

40

50

60

70Q/m3/h

0

20

40

60

80

100

120

140Q/m3/h

20

Wilo-VeroLine-DL-E

max.

Δp-v

max.

Δp-v

max.

max.

18m

18m

12m

12m

6m

6m

1,5m

1,5m