110 Pompe in-line a motore ventilato elettroniche

Curve caratteristiche

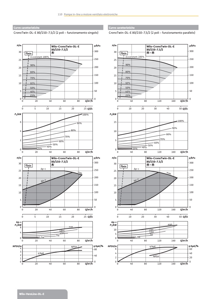
Curve caratteristiche

CronoTwin-DL-E 80/150-7,5/2 (2 poli - funzionamento singolo)

CronoTwin-DL-E 80/150-7,5/2 (2 poli - funzionamento parallelo)

H/m

p/kPa

H/m

p/kPa

n=constant 100%

90%

80%

70%

60%

50%

Wilo-CronoTwin-DL-E

80/150-7,5/2

X

Qmin

40%

25%

n=constant 100%

90%

80%

70%

60%

50%

Wilo-CronoTwin-DL-E

80/150-7,5/2

Y

Qmin

40%

25%

30

300

25

250

20

200

15

150

10

100

30

300

25

250

20

200

15

150

10

100

5

5

0

5

50

0

0

0

0

0

20

40

60

80

Q/m3/h

0

5

10

15

20

25Q/l/s

0

40

80

120

160

Q/m3/h

0

10

20

30

40

50Q/l/s

100%

90%

80%

70%

40

25%

60%

50%

100%

90%

80%

70%

40

25%

60%

50%

P

1

/kW

6

15

4

10

2

5

%

0

0

P

1

/kW

0

20

40

60

8

0

Q/m3/h

H/m

30

300

0

40

%

80

120

160

Q/m3/h

Qmin

Δp-c

Wilo-CronoTwin-DL-E

80/150-7,5/2

X

Qmin

Δp-c

Wilo-CronoTwin-DL-E

80/150-7,5/2

Y

p/kPa

H/m

30

p/kPa

300

250

200

150

100

50

25

250

20

200

15

150

10

100

25

20

15

10

5

5

0

5

0

0

0

0

0

20

40

60

80

Q/m3/h

0

5

10

15

20

25Q/l/s

0

40

80

120

160

Q/m3/h

0

10

20

30

40

50Q/l/s

Δp-c

P

1

/kW

8

4

Δp-c

P

1

/kW

10

5

1,7m

1,7m

0

0

Q/m3/h

0

20

40

60

8

0

Q/m3/h

0

40

80

120

160

NPSH

η hyd.

η hyd.

NPSH

NPSH/m

4

3

2

1

η hyd./%

NPSH/m

8

0

6

4

2

η hyd./%

60

40

20

40

0

0

0

0

0

20

40

60

80

Q/m3/h

0

40

80

120

160

Q/m3/h

Wilo-VeroLine-DL-E

max.

max.

Δp-v

Δp-v

13m

max.

max.

7m

19m

19m

13m

7m