40 Pompe in-line a motore ventilato elettroniche

Curve caratteristiche

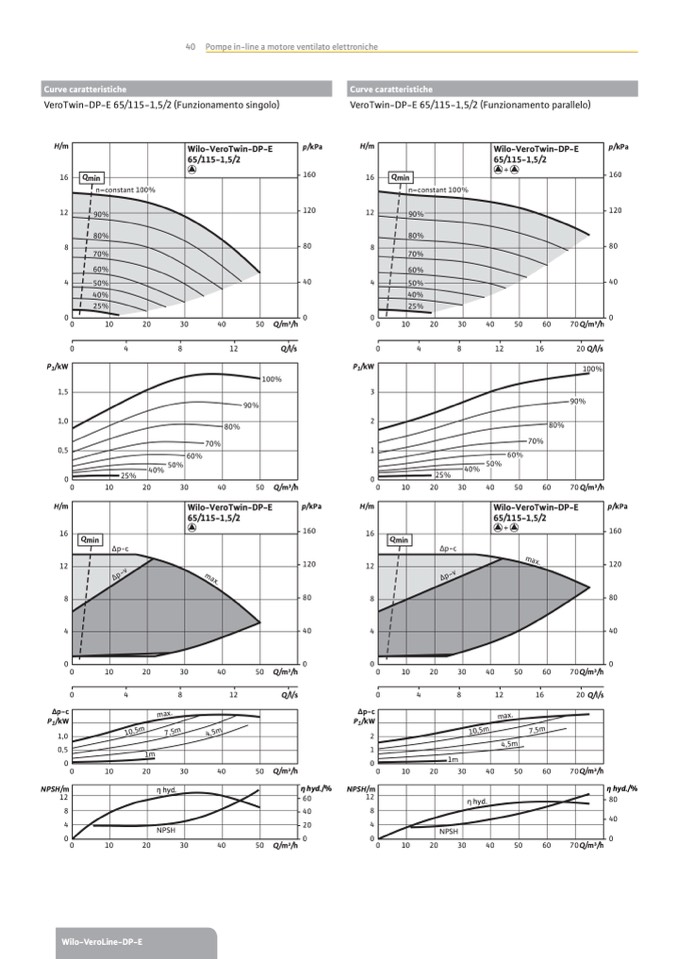
VeroTwin-DP-E 65/115-1,5/2 (Funzionamento singolo)

H/m

16

Curve caratteristiche

VeroTwin-DP-E 65/115-1,5/2 (Funzionamento parallelo)

p/kPa

H/m

p/kPa

160

16

160

Qmin

Wilo-VeroTwin-DP-E

65/115-1,5/2

X

n=constant 100%

90%

80%

70%

60%

50%

40%

25%

Wilo-VeroTwin-DP-E

65/115-1,5/2

Y

Qmin

n=constant 100%

90%

80%

70%

60%

50%

40%

25%

12

120

12

120

8

8

0

8

80

4

4

0

4

40

0

0

0

0

0

10

20

30

40

5

0

Q/m3/h

0

4

8

12

Q/l/s

0

10

20

30

40

50

60

70Q/m3/h

0

4

8

12

16

20Q/l/s

0

10

20

30

40

50

60

70Q/m3/h

100%

90%

70%

80%

25%

50%

40%

60%

100%

90%

70%

80%

25%

60%

50%

40%

P

1

/kW

1,5

1,0

0,5

H/m

16

P

1

/kW

3

2

1

0

0

0

10

20

30

40

50 Q/m3/h

Qmin

Δp-c

Wilo-VeroTwin-DP-E

65/115-1,5/2

X

Wilo-VeroTwin-DP-E

65/115-1,5/2

Y

Qmin

Δp-c

p/kPa

H/m

160

16

p/kPa

160

12

8

4

Δp-c

P

1

/kW

1,0

0,5

NPSH/m

12

120

80

40

120

12

8

0

8

4

0

4

0

0

0

0

0

0

10

20

30

8

40

5

0

Q/m3/h

Q/l/s

0

10

20

30

40

50

60

70Q/m3/h

0

4

8

12

16

20Q/l/s

0

10

20

30

40

50

60

70Q/m3/h

4

12

Δp-c

P

1

/kW

2

1m

1

0

0

0

10

20

30

40

50 Q/m3/h

η hyd.

NPSH

η hyd.

NPSH

η hyd./%

NPSH/m

60

12

η hyd./%

80

40

8

4

0

8

4

2

0

4

0

0

0

0

0

10

20

30

40

5

0

Q/m3/h

0

10

20

30

40

50

60

70Q/m3/h

Wilo-VeroLine-DP-E

max.

Δp-v

Δp-v

m

a

x

.

max.

max.

7,5m

10,5m

10,5m

7,5m

4,5m

4,5m

1m