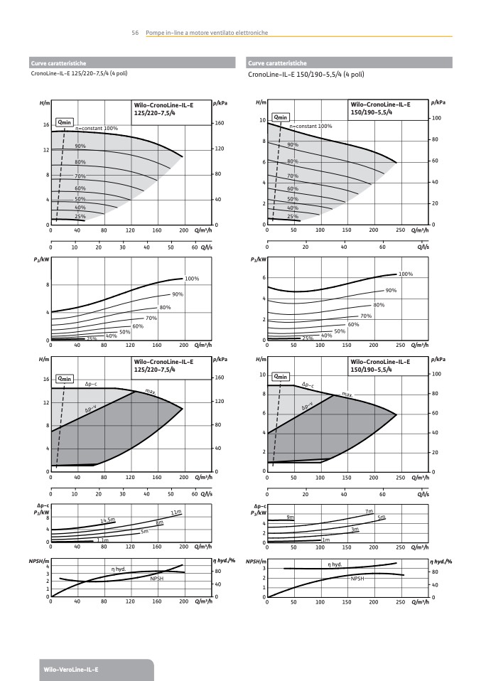
Curve caratteristiche

CronoLine-IL-E 125/220-7,5/4 (4 poli)

H/m

16

12

8

4

Curve caratteristiche

CronoLine-IL-E 150/190-5,5/4 (4 poli)

p/kPa

H/m

p/kPa

56

Pompe in-line a motore ventilato elettroniche

Qmin

n=constant 1 00%

Wilo-CronoLine-IL-E

150/190-5,5/4

90%

80%

70%

60%

50%

40%

25%

Qmin

n=constant 100%

Wilo-CronoLine-IL-E

125/220-7,5/4

90%

80%

70%

60%

50%

40%

25%

160

120

80

40

10

8

6

100

80

60

2

20

0

0

0

0

4

40

0

40

80

120

160

200 Q/m3/h

0

10

20

30

40

50

60Q/l/s

P

1

/kW

0

50

0

P

1

/kW

6

4

2

0

0

50

H/m

10

8

6

4

2

100

150

40

150

200

250 Q/m3/h

Q/l/s

250 Q/m3/h

20

60

1

00%

90%

80%

70%

25%

50%

40%

60%

100%

90%

80%

8

4

0

0

H/m

16

12

8

4

70%

40

25%

40%

80

60%

50%

120

160

200 Q/m3/h

100

200

Wilo-CronoLine-IL-E

125/220-7,5/4

Qmin

Δp-c

Wilo-CronoLine-IL-E

150/190-5,5/4

Qmin

p/kPa

160

120

80

40

p/kPa

100

80

60

40

20

0

0

0

0

0

40

80

120

160

200 Q/m3/h

0

0

1

0

2

0

3

0

4

0

5

0

60Q/l/s

0

Δp-c

Δp-c

P

1

/kW

P

1

/kW

8

4

4

0

0

50

50

20

100

1m

100

150

40

150

200

200

60

250 Q/m3/h

Q/l/s

250 Q/m3/h

1,1 m

0

NPSH/m

4

3

2

40

80

120

160

200 Q/m3/h

2

0

η hyd./%

NPSH/m

η hyd.

NP

SH

η hyd.

NPSH

η hyd./%

8

0

3

80

2

4

0

1

40

0

40

80

120

160

200 Q/m3/h

0

50

100

150

200

250 Q/m3/h

1

0

0

0

0

Wilo-VeroLine-IL-E

Δp-c

max.

max.

Δp-v

Δp-v

7m

11m

14,5m

9m

8m

5m

5m

3m