70

Pompe in-line a motore ventilato elettroniche

Curve caratteristiche

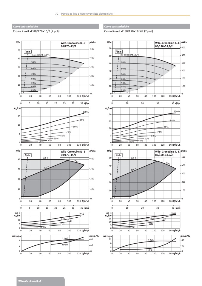
CronoLine-IL-E 80/170-15/2 (2 poli)

H/m

50

40

30

20

10

Curve caratteristiche

CronoLine-IL-E 80/190-18,5/2 (2 poli)

p/kPa

H/m

p/kPa

600

Qmin

90%

Wilo-CronoLine IL-E

80/170-15/2

n=constant 100%

80%

70%

60%

50%

40%

25%

Qmin

90%

80%

70%

60%

50%

40%

Wilo-CronoLine IL-E

80/190-18,5/2

n=constant 100%

25%

500

400

300

200

100

60

50

40

30

20

200

10

100

500

400

300

0

0

0

0

0

20

40

60

80

100

120Q/m3/h

0

0

5

1

0

1

5

2

0

2

5

3

0

35Q/l/s

0

P

1

/kW

P

1

/kW

20

40

60

80

100

120

140Q/m3/h

10

20

30

40 Q/l/s

100%

90%

80%

70%

2

40

5%

50%

%

60%

60%

70%

80%

90%

100%

25%

50%

40%

15

10

5

20

15

10

5

0

0

0

20

40

60

80

100

120Q/m3/h

0

H/m

p/kPa

H/m

20

40

60

80

100

120

140Q/m3/h

p/kPa

500

400

300

200

100

Qmin

Δp-c

Wilo-CronoLine IL-E

80/190-18,5/2

Qmin

Δp-c

Wilo-CronoLine IL-E

80/170-15/2

40

30

400

300

50

40

30

20

10

20

200

10

100

0

0

0

0

0

20

40

60

80

100

120Q/m3/h

0

0

5

1

0

1

5

2

0

2

5

3

0

35Q/l/s

0

Δp-c

Δp-c

P

1

/kW

P

1

/kW

15

10

5

0

0

20

40

60

80

100

120

140Q/m3/h

10

20

30

40 Q/l/s

2,5m

3m

10

5

0

20

40

60

80

100

120Q/m3/h

NPSH/m

20

40

60

80

100

120

140Q/m3/h

η hyd./%

0

0

0

0

0

0

20

40

60

80

100

120 Q/m3/h

0

20

40

60

80

100

120

140Q/m3/h

η hyd.

NPSH

η hyd.

NPSH

η hyd./%

NPSH/m

80

12

8

80

2

4

0

4

40

4

Wilo-VeroLine-IL-E

max.

max.

Δp-v

Δp-v

max.

max.

37m

31m

26m

22m

15m

13m