84 Pompe in-line a motore ventilato elettroniche

Curve caratteristiche

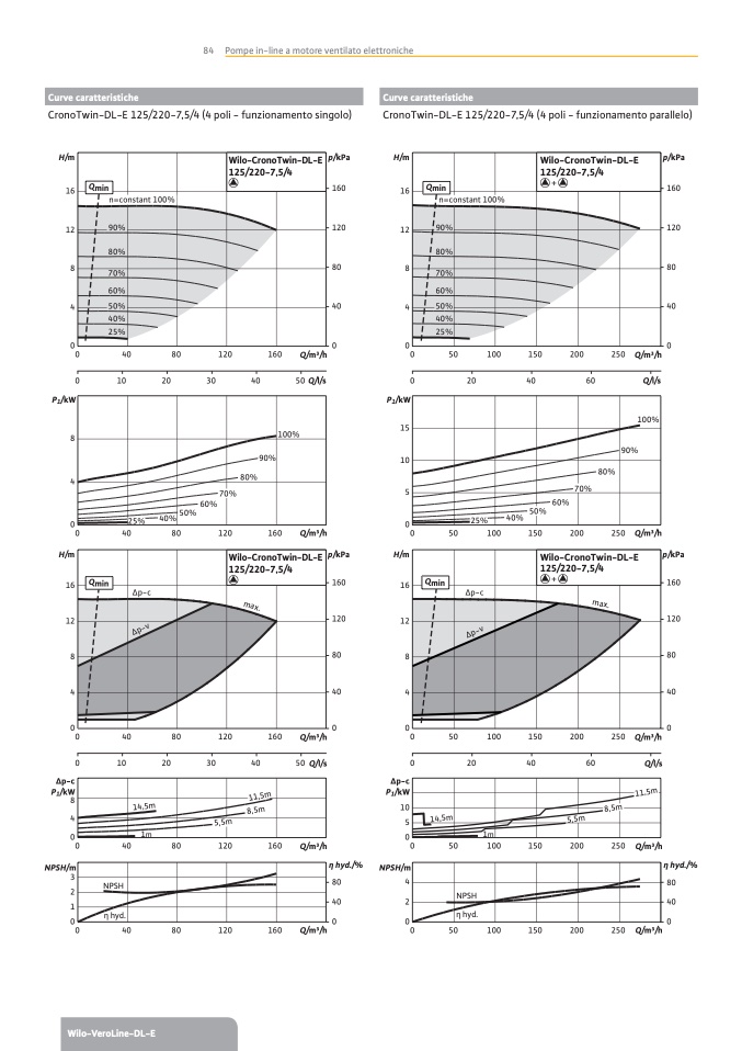
CronoTwin-DL-E 125/220-7,5/4 (4 poli - funzionamento singolo)

Curve caratteristiche

CronoTwin-DL-E 125/220-7,5/4 (4 poli - funzionamento parallelo)

H/m

16

160

12

120

Qmin

Wilo-CronoTwin-DL-E

125/220-7,5/4

X

n=constant 100%

90%

80%

70%

60%

50%

40%

25%

Qmin

Wilo-CronoTwin-DL-E

125/220-7,5/4

Y

n=constant 100%

90%

80%

70%

60%

50%

40%

25%

H/m

16

12

p/kPa

160

120

p/kPa

8

8

0

8

80

4

4

0

4

40

0

0

0

0

0

40

80

120

160

Q/m3/h

0

10

20

30

40

50Q/l/s

P

1

/kW

0

0

P

1

/kW

15

10

5

50

100

150

40

40%

50%

150

200

60

70%

60%

200

250 Q/m3/h

Q/l/s

80%

250 Q/m3/h

20

100%

100%

8

4

90%

80%

70%

60%

90%

25%

40%

50%

25%

100

0

0

0

40

80

120

160

Q/m3/h

0

50

Qmin

Δp-c

Wilo-CronoTwin-DL-E

125/220-7,5/4

X

Qmin

Δp-c

Wilo-CronoTwin-DL-E

125/220-7,5/4

Y

H/m

16

12

8

4

p/kPa

160

120

H/m

16

12

p/kPa

160

120

80

40

8

0

8

4

0

4

0

0

0

0

0

40

80

120

160

Q/m3/h

0

0

10

20

30

40

50Q/l/s

0

Δp-c

P

1

/kW

10

5

50

50

20

100

100

150

40

150

200

200

60

250 Q/m3/h

Q/l/s

250 Q/m3/h

Δp-c

P

1

/kW

8

4

1m

0

1m

0

0

40

80

120

160

Q/m3/h

NPSH/m

3

2

1

0

η hyd./%

NPSH/m

8

0

4

80

4

0

2

40

η hyd./%

NPSH

η hyd.

NPSH

η hyd.

0

0

0

0

0

40

80

120

160

Q/m3/h

0

50

100

150

200

250 Q/m3/h

Wilo-VeroLine-DL-E

max.

max.

Δp-v

Δp-v

11,5m

11,5m

14,5m

5,5m

8,5m

8,5m

14,5m

5,5m