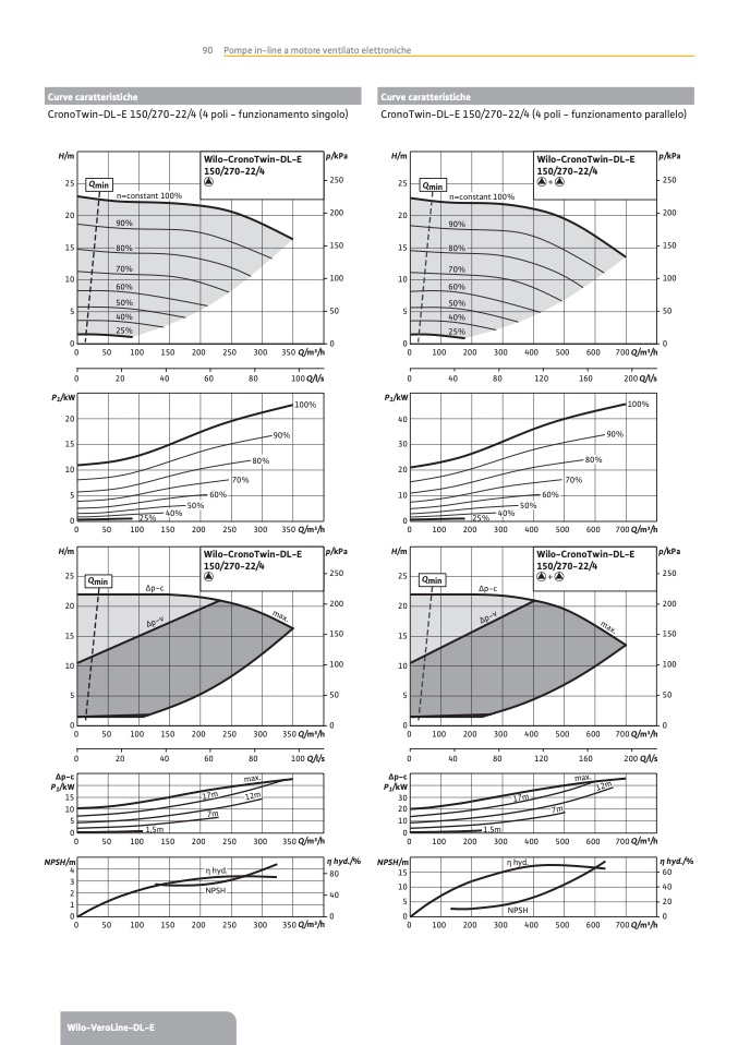
90 Pompe in-line a motore ventilato elettroniche

Curve caratteristiche

CronoTwin-DL-E 150/270-22/4 (4 poli - funzionamento singolo)

Curve caratteristiche

CronoTwin-DL-E 150/270-22/4 (4 poli - funzionamento parallelo)

p/kPa

25

250

Qmin

n=constant 10

90%

80%

70%

0%

Wilo-CronoTwin-DL-E

150/270-22/4

Y

60%

50%

40%

25%

Qmin

n=constant 10

90%

80%

70%

0%

Wilo-CronoTwin-DL-E

150/270-22/4

X

60%

50%

40%

25%

H/m

p/kPa

H/m

25

250

20

200

15

150

10

100

20

200

15

150

10

100

5

5

0

5

50

0

0

0

0

0

50

100

150

200

250

300

350Q/m3/h

0

0

20

40

60

80

100Q/l/s

0

P

1

/kW

P

1

/kW

20

40

15

30

10

20

5

10

0

0

0

50

100

150

200

250

300

350Q/m3/h

0

H/m

p/kPa

H/m

25

250

25

20

200

20

15

150

15

10

100

10

100

200

300

400

500

600

700Q/m3/h

40

80

120

160

200Q/l/s

100

200

300

400

500

600

700Q/m3/h

p/kPa

250

200

150

100

50

60%

50%

0%

70%

90%

100%

80 %

25%

4

60%

50%

0%

70%

90%

100%

80 %

25%

4

Wilo-CronoTwin-DL-E

150/270-22/4

X

Qmin

Δp-c

Qmin

Δp-c

Wilo-CronoTwin-DL-E

150/270-22/4

Y

5

5

0

5

0

0

0

0

0

50

100

150

200

250

300

350Q/m3/h

0

0

20

40

60

80

100Q/l/s

0

Δp-c

Δp-c

P

1

/kW

P

1

/kW

15

30

10

20

5

10

0

0

0

50

100

150

200

250

300

350Q/m3/h

0

NPSH/m

η hyd./%

NPSH/m

100

200

300

400

500

600

700Q/m3/h

40

80

120

160

200 Q/l/s

1,5m

1,5m

η hyd.

NPSH

η hyd.

NPSH

4

3

80

15

100

200

300

400

500

600

700Q/m3/h

η hyd./%

60

10

5

20

2

40

1

40

0

0

0

0

0

50

100

150

200

250

300

350Q/m3/h

0

100

200

300

400

500

600

700Q/m3/h

Wilo-VeroLine-DL-E

max.

Δp-v

Δp-v

max.

max.

max.

12m

17m

12m

17m

7m

7m