Curve caratteristiche

CronoTwin-DL-E 40/220-11/2 (2 poli - funzionamento singolo)

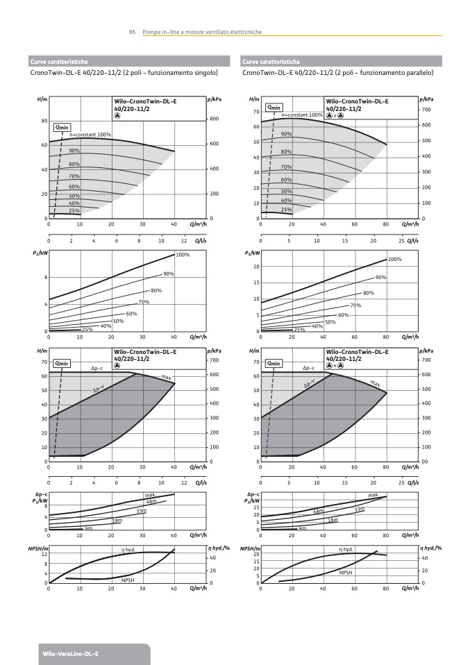
Curve caratteristiche

CronoTwin-DL-E 40/220-11/2 (2 poli - funzionamento parallelo)

96 Pompe in-line a motore ventilato elettroniche

Qmin

n=constant 100%

90%

80%

70%

60%

50%

40%

25%

Wilo-CronoTwin-DL-E

40/220-11/2

Y

n=constant 100%

90%

80%

70%

60%

Wilo-CronoTwin-DL-E

40/220-11/2

X

Qmin

50%

40%

25%

H/m

80

60

p/kPa

H/m

70

800

600

p/kPa

700

600

500

400

40

400

20

200

60

50

40

30

300

20

200

10

100

0

0

0

0

0

10

20

30

40

Q/m3/h

0

0

2

4

6

8

10

1

2

Q/l/s

0

P

1

/kW

P

1

/kW

20

8

15

10

5

0

0

20

40

60

80

Q/m3/h

5

10

15

20

25Q/l/s

90%

100%

80%

70%

40%

25%

60%

50%

80%

90%

100%

70%

60%

50%

25%

40%

4

0

10

H/m

70

60

50

40

30

20

10

0

20

30

40

Q/m3/h

0

p/kPa

H/m

700

70

600

60

500

50

400

40

300

30

200

20

100

10

0

0

20

40

60

80

Q/m3/h

Wilo-CronoTwin-DL-E

40/220-11/2

X

Qmin

Δp-c

Wilo-CronoTwin-DL-E

40/220-11/2

Y

Qmin

Δp-c

0

1

0

2

0

3

0

4

0

Q/m3/h

0

20

40

60

80

Q/m3/h

p/kPa

700

600

500

400

300

200

100

00

η hyd./%

40

0

2

4

6

8

1

0

1

2

Q/l/s

Δp-c

P

1

/kW

8

4

0

NPSH/m

12

0

5

10

15

20

25 Q/l/s

80

Q/m3/h

Δp-c

P

1

/kW

15

10

5

0

0

4m

4m

10

20

30

40

Q/m3/h

0

20

NPSH/m

20

40

60

η hyd.

NPSH

η hyd.

NPSH

η hyd./%

40

8

15

20

10

5

20

0

0

0

0

4

0

10

20

30

40

Q/m3/h

0

20

40

60

80

Q/m3/h

Wilo-VeroLine-DL-E

max.

max.

Δp-v

Δp-v

max.

max.

48m

33m

33m

48m

18m

18m