100

PLAnUnG / AUSLeGUnG

LeiSTUnGSdiAGRAMMe SySTeMeLeMenT TS 25

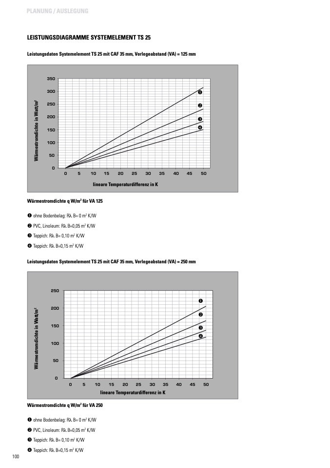
Leistungsdaten Systemelement TS 25 mit cAf 35 mm, Verlegeabstand (VA) = 125 mm

350

300

250

200

150

100

50

0

0

5

10

15

20

25

30

35

40

45

50

lineare Temperaturdifferenz in k

u

v

w

x

Wärmestromdichte q W/m

2

für VA 125

uohne Bodenbelag: Rλ B= 0 m

2

K/W

vPVC, Linoleum: Rλ B=0,05 m

2

K/W

wTeppich: Rλ B= 0,10 m

2

K/W

xTeppich: Rλ B=0,15 m

2

K/W

Leistungsdaten Systemelement TS 25 mit cAf 35 mm, Verlegeabstand (VA) = 250 mm

250

200

150

100

50

0

0

5

10

15

20

25

30

35

40

45

50

lineare Temperaturdifferenz in k

u

v

w

x

Wärmestromdichte q W/m

2

für VA 250

uohne Bodenbelag: Rλ B= 0 m

2

K/W

vPVC, Linoleum: Rλ B=0,05 m

2

K/W

wTeppich: Rλ B= 0,10 m

2

K/W

xTeppich: Rλ B=0,15 m

2

K/W

W

a

̈

r

m

e

s

t

r

o

m

d

i

c

h

t

e

i

n

W

a

t

t

/

m

2

W

a

̈

r

m

e

s

t

r

o

m

d

i

c

h

t

e

i

n

W

a

t

t

/

m

2