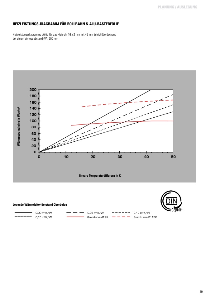
HeiZLeiSTUnGS-diAGRAMM füR ROLLBAHn & ALU-RASTeRfOLie

Heizleistungsdiagramme gültig für das Heizrohr 16 x 2 mm mit 45 mm Estrichüberdeckung

bei einem Verlegeabstand (VA) 200 mm

PLAnUnG / AUSLeGUnG

200

180

160

140

120

100

80

60

40

20

0

0

10

20

30

40

50

lineare Temperaturdifferenz in k

Legende Wärmeleitwiderstand Oberbelag

0,00 m2K/W

0,05 m2K/W

0,15 m2K/W

Grenzkurve dT:9K

0,10 m2K/W

Grenzkurve dT: 15K

89

W

a

̈

r

m

e

s

t

r

o

m

d

i

c

h

t

e

i

n

W

a

t

t

/

m

2