BOLLY

®

2 ST INOX

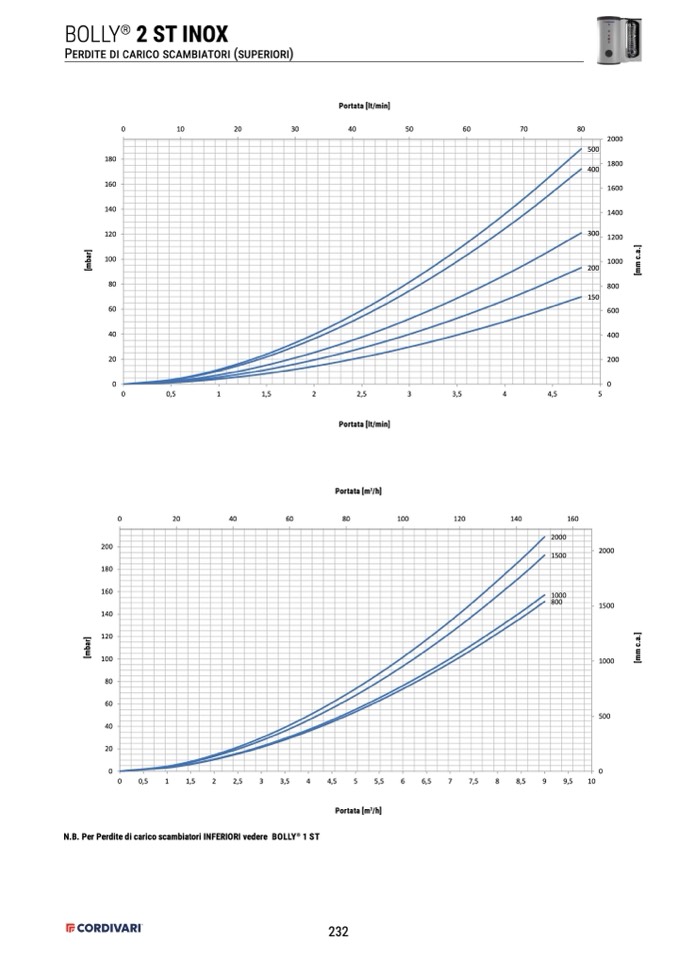
Perdite di carico scambiatori (superiori)

Portata [lt/min]

0

10

20

30

40

50

60

70

80

2000

500

400

300

200

150

180

160

140

120

100

80

60

40

20

1800

1600

1400

1200

1000

800

600

400

200

[

m

b

a

r

]

[

m

m

c

.

a

.

]

0

0

0

0,5

1

1,5

2

2,5

3

3,5

4

4,5

5

Portata [lt/min]

Portata [m

3

/h]

0

20

40

60

80

100

120

140

160

2000

1500

1000

800

200

180

160

140

120

100

80

60

40

20

2000

1500

1000

500

[

m

b

a

r

]

[

m

m

c

.

a

.

]

0

0

0

0,5

1

1,5

2

2,5

3

3,5

4

4,5

5

5,5

6

6,5

7

7,5

8

8,5

9

9,5

10

Portata [m

3

/h]

N.B. Per Perdite di carico scambiatori INFERIORI vedere BOLLY

®

1 ST

232