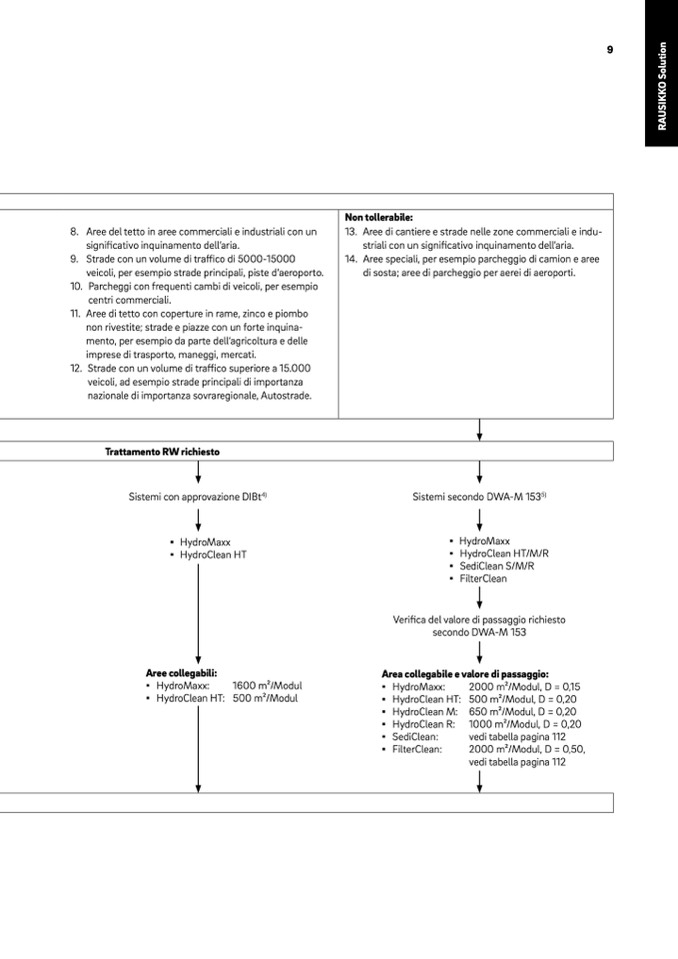
Non tollerabile:

8.

9.

10.

11.

12.

Aree del tetto in aree commerciali e industriali con un

significativo inquinamento dell‘aria.

Strade con un volume di traffico di 5000-15000

veicoli, per esempio strade principali, piste d‘aeroporto.

Parcheggi con frequenti cambi di veicoli, per esempio

centri commerciali.

Aree di tetto con coperture in rame, zinco e piombo

non rivestite; strade e piazze con un forte inquina-

mento, per esempio da parte dell‘agricoltura e delle

imprese di trasporto, maneggi, mercati.

Strade con un volume di traffico superiore a 15.000

veicoli, ad esempio strade principali di importanza

nazionale di importanza sovraregionale, Autostrade.

13. Aree di cantiere e strade nelle zone commerciali e indu-

striali con un significativo inquinamento dell‘aria.

14. Aree speciali, per esempio parcheggio di camion e aree

di sosta; aree di parcheggio per aerei di aeroporti.

Trattamento RW richiesto

Sistemi con approvazione DIBt

4)

Sistemi secondo DWA-M 153

5)

▪ HydroMaxx

▪ HydroClean HT

Area collegabile e valore di passaggio:

▪ HydroMaxx:

▪ HydroClean HT:

▪ HydroClean M:

▪ HydroClean R:

▪ SediClean:

▪ FilterClean:

2000 m2/Modul, D = 0,15

500 m2/Modul, D = 0,20

650 m2/Modul, D = 0,20

1000 m2/Modul, D = 0,20

vedi tabella pagina 112

2000 m2/Modul, D = 0,50,

vedi tabella pagina 112

Aree collegabili:

▪ HydroMaxx:

1600 m2/Modul

▪ HydroClean HT: 500 m2/Modul

▪ HydroMaxx

▪ HydroCleanHT/M/R

▪ SediCleanS/M/R

▪ FilterClean

Verifica del valore di passaggio richiesto

secondo DWA-M 153

R

A

U

S

I

K

K

O

S

o

l

u

t

i

o

n

9