A

R

T

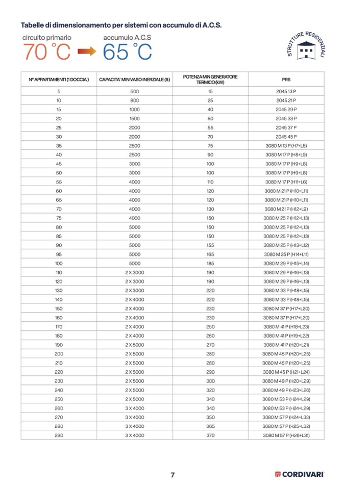
Tabelle di dimensionamento per sistemi con accumulo di A.C.S.

circuito primario

70

°

C

N° APPARTAMENTI (1 DOCCIA )

5

10

15

20

25

30

35

40

45

50

55

60

65

70

75

80

85

90

95

100

110

120

130

140

150

160

170

180

190

200

210

220

230

240

250

260

270

280

290

accumulo A.C.S

65

°

C

CAPACITA' MIN VASO INERZIALE (lt)

500

800

1000

1500

2000

2000

2500

2500

3000

3000

4000

4000

4000

4000

4000

5000

5000

5000

5000

5000

2 X 3000

2 X 3000

2 X 3000

2 X 4000

2 X 4000

2 X 4000

2 X 4000

2 X 4000

2 X 5000

2 X 5000

2 X 5000

2 X 5000

2 X 5000

2 X 5000

2 X 5000

3 X 4000

3 X 4000

3 X 4000

3 X 4000

R

7

POTENZA MIN GENERATORE

TERMICO (kW)

15

25

40

50

55

70

75

90

100

100

110

120

120

130

150

150

150

155

165

185

190

190

220

220

230

230

250

260

270

280

280

290

300

320

340

340

350

365

370

PRS

2045 13 P

2045 21 P

2045 29 P

2045 33 P

2045 37 P

2045 45 P

3080 M 13 P (H7+L6)

3080 M 17 P (H8+L9)

3080 M 17 P (H9+L8)

3080 M 17 P (H9+L8)

3080 M 17 P (H11+L6)

3080 M 21 P (H10+L11)

3080 M 21 P (H10+L11)

3080 M 21 P (H12+L9)

3080 M 25 P (H12+L13)

3080 M 25 P (H12+L13)

3080 M 25 P (H12+L13)

3080 M 25 P (H13+L12)

3080 M 25 P (H14+L11)

3080 M 29 P (H15+L14)

3080 M 29 P (H16+L13)

3080 M 29 P (H16+L13)

3080 M 33 P (H18+L15)

3080 M 33 P (H18+L15)

3080 M 37 P (H17+L20)

3080 M 37 P (H17+L20)

3080 M 41 P (H18+L23)

3080 M 41 P (H19+L22)

3080 M 41 P (H20+L21)

3080 M 45 P (H20+L25)

3080 M 45 P (H20+L25)

3080 M 45 P (H21+L24)

3080 M 49 P (H20+L29)

3080 M 49 P (H23+L26)

3080 M 53 P (H24+L29)

3080 M 53 P (H24+L29)

3080 M 57 P (H24+L33)

3080 M 57 P (H25+L32)

3080 M 57 P (H26+L31)