IN-LINE CENTRIFUGAL PUMPS

3E

50Hz

Rev.A

CONSTRUCTIONS

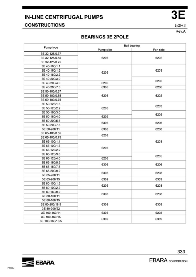
Pump type

3E 32-125/0.37

3E 32-125/0.55

3E 32-125/0.75

3E 40-160/1.1

3E 40-160/1.5

3E 40-160/2.2

3E 40-200/3.0

BEARINGS 3E 2POLE

Pump side

6203

Fan side

6202

6203

6205

6206

6202

6203

6205

6206

6208

6203

6205

6206

6208

6309

6203

6208

6309

6208

6309

Ball bearing

6205

3E 40-200/4.0

6206

3E 40-200/7.5

3E 50-100/0.37

3E 50-100/0.55

3E 50-100/0.75

3E 50-125/1.5

6306

6203

3E 50-125/2.2

6205

3E 50-160/3.0

3E 50-160/4.0

6202

3E 50-200/5.5

3E 50-200/7.5

3E 50-200/11

3E 65-100/0.55

3E 65-100/0.75

3E 65-100/1.1

3E 65-100/1.5

3E 65-125/2.2

3E 65-125/3.0

6306

6308

6203

6205

3E 65-125/4.0

6206

3E 65-160/5.5

3E 65-160/7.5

3E 65-200/9.2

3E 65-200/11

3E 65-200/15

3E 80-100/1.5

3E 80-100/2.2

3E 80-160/9.2

3E 80-160/11

3E 80-160/15

3E 80-200/18.5

3E 80-200/22

3E 100-160/11

3E 100-160/15

3E 100-160/18.5

6306

6308

6309

6205

6308

6309

6308

6309

333

EBARA

CORPORATION

PM10U