Wall mounted unit • FTXM-R

8

8 - 1

Sound data

Sound Power Spectrum

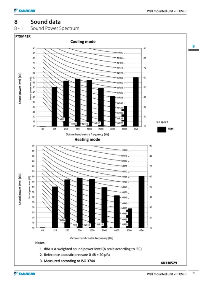
FTXM42R

Cooling mode

90

85

80

75

70

65

60

55

50

45

40

35

30

25

20

15

10

63

90

NR90

NR85

80

NR80

NR75

70

NR70

NR65

60

NR60

NR55

50

NR50

NR45

40

NR40

NR35

30

NR30

125

NR5

NR10

NR15

250

500

1000

2000

NR20

4000

8000

dBA

NR0

NR25

20

10

Fan speed

High

Octave band centre frequency [Hz]

Heating mode

90

85

80

75

70

65

60

55

50

45

40

35

30

25

20

15

10

63

90

NR90

NR85

80

NR80

NR75

70

NR70

NR65

60

NR60

NR55

50

NR50

NR45

40

NR40

NR35

30

NR30

NR0

NR25

20

10

125

250

500

dBA

NR5

NR10

NR15

1000

2000

NR20

4000

8000

Octave band centre frequency [Hz]

Notes

1. dBA = A-weighted sound power level (A scale according to IEC).

2. Reference acoustic pressure 0 dB = 20 μPa

3. Measured according to ISO 3744

4D130529

8

Wall mounted unit • FTXM-R

21

S

o

u

n

d

p

o

w

e

r

l

e

v

e

l

[

d

B

]

S

o

u

n

d

p

o

w

e

r

l

e

v

e

l

[

d

B

]

S

o

u

n

d

p

o

w

e

r

l

e

v

e

l

[

d

B

]

S

o

u

n

d

p

o

w

e

r

l

e

v

e

l

[

d

B

]