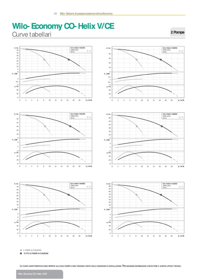
Curve tabellari

H/m

CO-2 Helix V 605/CE

40

2900 1/min

H / m

40

30

2 Pompe

CO-2 Helix V 606/CE

2900 1/min

50 Hz

P2 /kW

1

0,5

H/m

70

60

50

40

30

20

10

CO-2 Helix V 609/CE

2900 1/min

50 Hz

H / m

CO-2 Helix V 610/CE

80

2900 1/min

35

30

25

20

15

10

50 Hz

5

�� Wilo-Sistemi di pressurizzazione idrica Economy

Wilo-Economy CO-Helix V/CE

1

2

1

2

20

10

0

0

P2 /kW

1,5

1

0,5

0

0

η/%

η/%

40

40

20

20

0

0

0

2

4

6

8

10

12

14

16

18

20

Q/m3/h

0

2

4

6

8

10

12

14

16

18

20

Q/m3/h

H/m

CO-2 Helix V 607/CE

2900 1/min

H / m

60

50

CO-2 Helix V 608/CE

2900 1/min

50 Hz

50

40

50 Hz

40

3

0

1

2

1

2

20

10

30

20

10

0

0

P2 /kW

η/%

η/%

40

40

20

20

0

0

0

2

4

6

8

10

12

14

16

18

20

Q/m3/h

2

1

2

1

0

0

1

2

10

0

0

P2 /kW

2

1

1

0

0

η/%

η/%

40

40

20

20

0

0

0

2

4

6

8

10

12

14

16

18

20

Q/m3/h

1

1 POMPA IN FUNZIONE

2

TUTTE LE POMPE IN FUNZIONE

P2 /kW

L

E CURVE CARATTERISTICHE SONO RIFERITE ALLE SOLE POMPE E NON TENGONO CONTO DELLE CONDIZIONI DI INSTALLAZIONE

. P

ER MAGGIORI INFORMAZIONI CONTATTARE IL NOSTRO UFFICIO TECNICO

.

Wilo-Economy CO-Helix V/CE

P2 /kW

0

2

4

6

8

10

12

14

16

18

20

Q/m3/h

70

60

50

1

2

40

30

20

50 Hz

2

0

2

4

6

8

10

12

14

16

18

20

Q/m3/h