Specifiche tecniche

Nomogrammi JRG LegioTherm K

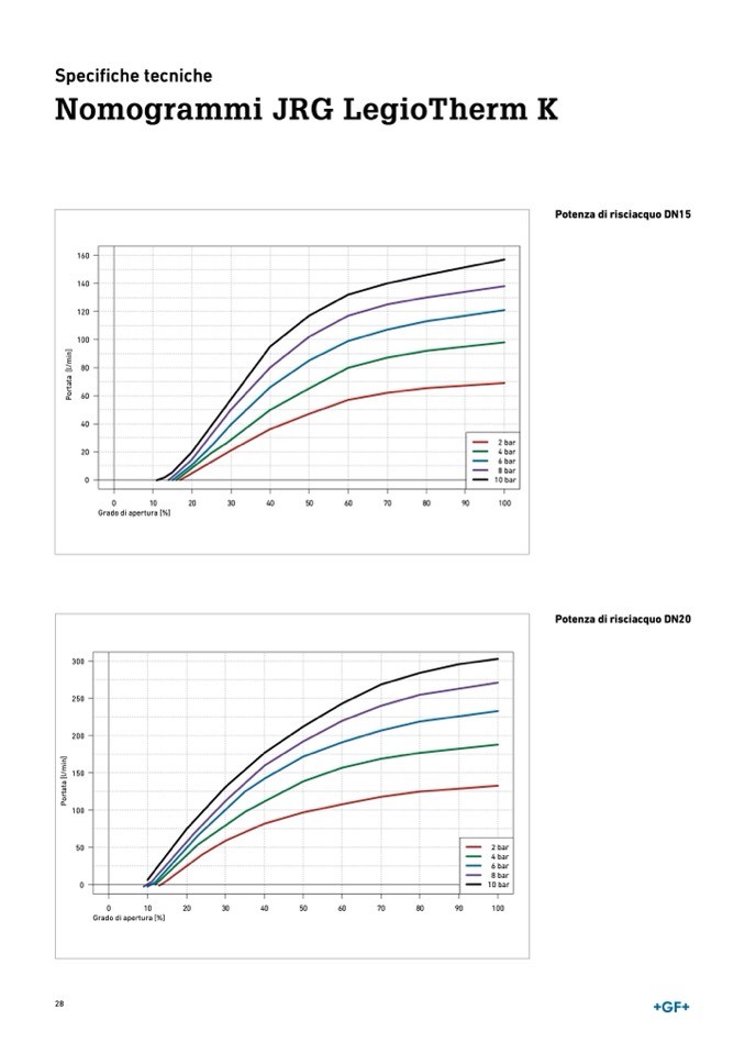
Potenza di risciacquo DN15

2 bar

4 bar

6 bar

8 bar

10 bar

160

140

120

100

80

60

40

20

0

0

10

20

30

40

50

60

70

80

90

100

Grado di apertura [%]

P

o

r

t

a

t

a

[

l

/

m

i

n

]

Potenza di risciacquo DN20

300

250

200

150

100

50

0

0

10

20

30

40

50

60

70

80

90

100

Grado di apertura [%]

Spülleistung DN20 K

2 bar

4 bar

6 bar

8 bar

10 bar

P

o

r

t

a

t

a

[

l

/

m

i

n

]

28